About our transparency reports
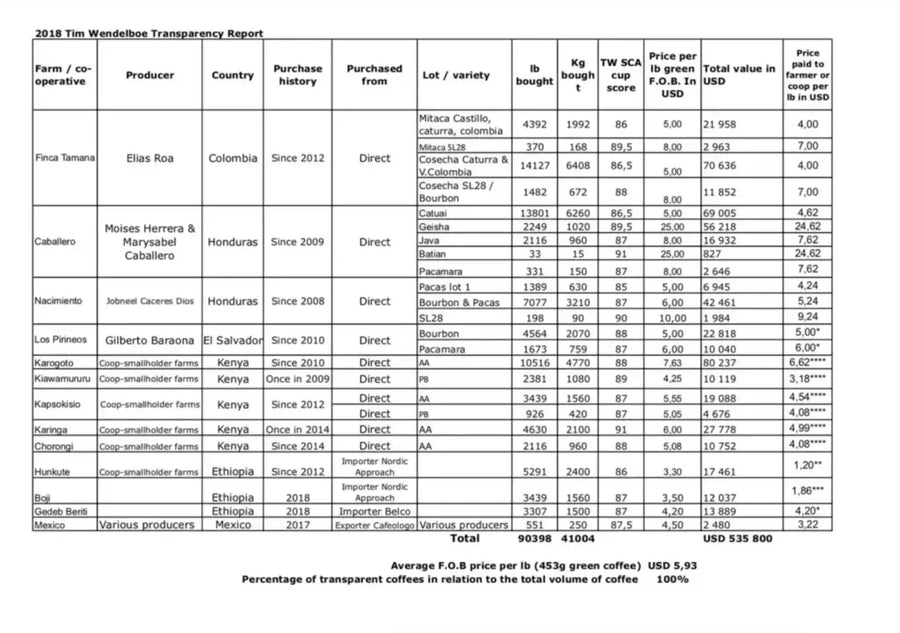
Since 2010, we have published the prices we pay for green coffee. We believe that any coffee business serious about sustainability must also be transparent and open about what they pay the farmers they source from. Fair pricing and sustainability go hand in hand. Farmers cannot be expected to focus on sustainable practices if they are not first able to make a decent living.
Although the idea of transparency is widely discussed within the coffee community, there is still resistance among many roasteries to publish real numbers. By sharing actual figures, roasteries can support the producers they buy from by creating a benchmark for what quality coffee is worth. Transparency not only gives other roasteries who are committed to building long-term, sustainable relationships with farmers a clearer idea of the prices they should be paying, but it also enables farmers to use these reports as leverage when negotiating prices.

