Our annual Transparency report for 2018 is as always way over due but finally I got the push I needed in order to finish it as we have just joined and signed up to The Pledge, which has it’s public launch today. The Pledge is a joint project made to establish a common code for transparency reporting in the coffee industry. A great incentive for more roasters to publish their green coffee prices and I really hope that it can help set a new standard for what the market price for quality coffee really is.
The need for transparency in the coffee world is becoming more and more important to me as a person and also a company. Today the coffee c-market price is below production cost of coffee which is obviously not sustainable for most coffee producers. We use a lot of energy throughout the year showing our followers what it actually takes to grow and produce high quality coffee and therefore I also think it is important to show our you what we actually pay for it. I still hear a lot of stories about roasters, exporters and importers trying to find cheap tasty coffees and not being willing to pay good prices to the producers. THis is of course an extremely short term way of thinking, and will for sure not help incentivise farmers to invest in their farms. After spending over 2 months at Finca Tamana every year since 2015 I have also learned a lot what a farmer thinks and what is important to them. Therefore posting what we pay for our green coffee is not only a tradition for our company but we do it because we want to inspire other coffee companies and show them that it is possible to build a profitable business and still pay a fair price for coffee. We also do it so that farmers who are selling quality coffee and might not be aware of what other roasters are paying for similar coffees in the market can use it as a tool or a reference when they negotiate prices.
Making sure that the producers of coffee are paid a sustainable price is key to keeping our industry alive. If you love coffee and want to continue drinking it, then it is the only way we can move forward. To understand what a sustainable price is we need openness and transparency around the econiomics of coffee.
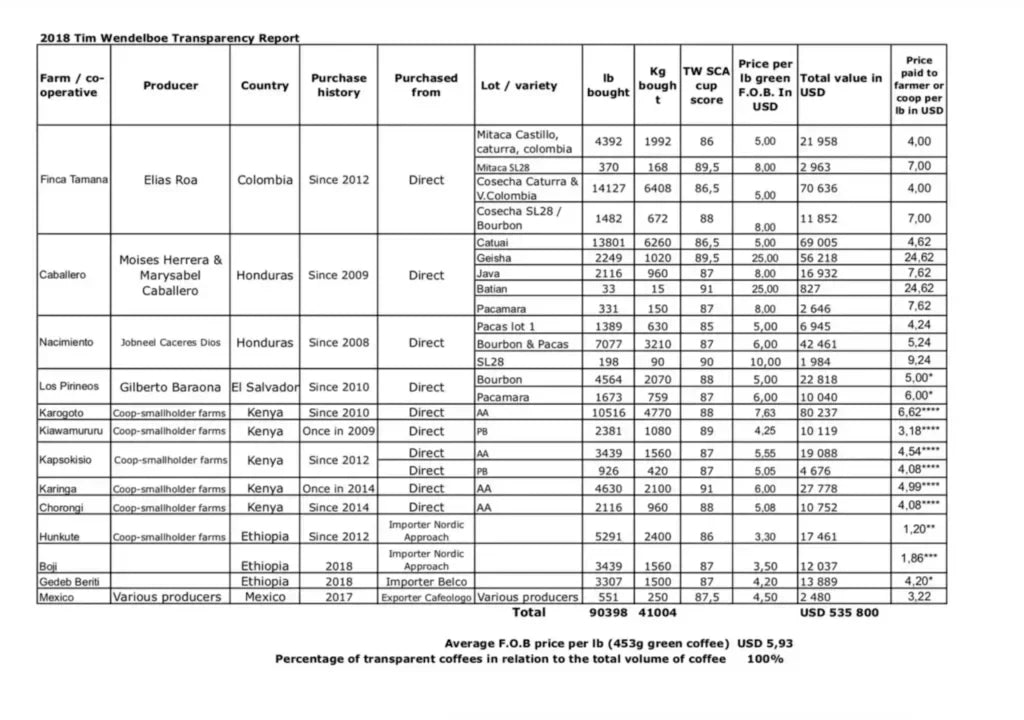
I know that our transparency report is by all mans not perfect and we could add a lot more detail to it. This years format is similar to the ones we have been publishing in the past, but is now formatted to fit the criteria we have “Pledged” to publish. New for the 2018 report is that I also included the price paid to the farmer or in some cases the cooperative. (See footnotes in the report for more detail.) I will try to explain the report as good as I can below, so that it makes more sense to everyone.
Price per lb green F.O.B. and C-market
F.O.B means «Free on Board» which means the price for the coffee packed and stacked in a container delivered to the ship. The price is stated as the price per pound (lb) which is equal to 453 grams of green coffee. The reason why we use this price and for example not the «Farm Gate» price (price paid to farmer) is because this is the most common way of communicating price and is the decided criteria for communicating prices in The Pledge.
So, when we state the F.O.B. price it means that for example when we pay USD 5,- per lb F.O.B. for coffee from Elias and his farm Finca Tamana in Colombia, he only get’s USD 4,- per lb. Why? Because the coffee needs to be transported to the mill, milled, packed and again transported to port. Samples also needs to be sent to Norway for approval and local coffee taxes needs to be paid. This work is managed by an exporter, in this case our friend Alejandro Renjifo at Fairfield Trading, and he also has personell cost and rent to cover. In other cases the farmer is his own exporter and other cases the cooperative also needs to get their cut. It means the F.O.B price is not a perfect indicator that the farmer was paid really well, but when you have a transparent value chain and also as few “middle men” as possible it means the farmers will still get the majority of the F.O.B Price. I will try to explain a bit how each of our coffees get bought below but before I do that I have to address some issues with the C-market price.
First of all the c-market price is the market price for «Commodity coffee» and not high quality coffee or what people referr to as “specialty coffe”. The C-market price, as I am writing this today, is around USD 1,05 per lb which for example is about 30 -50 cents lower than the cost of production for a pound of green coffee in Colombia. The fact that quality focused «specialty roasters» still use this price as a benchmark for what they are paying for coffee is beyond me. I recently attended a lecture in a coffee conference where a roaster was speaking proudly about how they were paying 20% above the c-market price. This means they are paying about USD 1,20 for their coffee which still does not cover the cost of producing low quality commodity coffee. I believe we need to create another benchmark of what the market price for quality coffee is before we can start talking about how much more we are paying above the market price. I know that Transparent Trade Coffee is doing research on it and I hope that «The Pledge» will also help with creating such a benchmark.
The other big issue with the c-market price is that it does not consider the farmers cost of production. The farmers also have no say in the setting of this price. It is a price created by traders and it is influenced by things such as oil prices, currency, supply and demand and speculations.
I have loads of other issues with the c-market price but overall I think quality focused roasters and importers should stop using it as a reference for setting the price of the coffees they buy and start negotiating more directly with famers and agree upon a price based on cost of production, quality and potential market value.
Country, Farm / Cooperative, Purchase history and who we buy from.
in 2018 we mainly bought our coffees directly from farms and cooperatives but every country and farmer have a different supply chain. I will try to explain them briefly here so that you can understand a bit more how we buy our coffees.
Finca Tamana – We buy coffee directly from Elias Roa, the farmer. Fairfield Trading, the exporter, provides milling and logistical service and the coffee is imported by ourselves directly to Norway. We have been buying coffee from Elias every year since 2012.
Caballero – We buy coffee directly from Marysabel Caballero and Moises Herrera, the farmers. They mill and pack their own coffee. Boncafe, the exporter, provides logistical service and the coffee is imported by ourselves directly to Norway. We have been buying coffee from the Caballeros every year since 2009.
Nacimiento – We buy coffee directly from Jobneel Caceres Dios, the farmer. San Vicente, the exporter, provides milling and logistical service and the coffee is imported by ourselves directly to Norway. We have been buying coffee from Jobneel every year since 2008.
Los Pirineos – We buy coffee directly from Gilberto Baraona, the farmer. He mills and packs his own coffee. He is also the exporter. The coffee is imported by ourselves directly to Norway. We have been buying coffee from Gilberto every year since 2010.
Kenyan coffees – So far we have mainly been buying through what is called «direct sales» in Kenya. We try to buy from the same wet mills (organised under a cooperative society) every year but have been shopping around based on availability and quality and in some years political situations have made buying challenging. This means that some wet mills we have bought from for many years (yet some years we have not been able to), and others we might have bought from once before. Every year we cup through «direct sale offers» from C.Dorman and Sasini who are exporters. Once the selection is made we offer a price based on USD per 50kg bag of green coffee that is negotiated with the cooperatives. This price is what is paid for the coffee to the cooperative and is negotiated with the help of a marketing agent that the different wet-mills / factories have selected to use. Once the price is agreed upon, the marketing agent adds their fee, the exporter adds their milling, finance and logistical cost to the price which becomes the F.O.B. price.
The farmers sell coffee cherries to the wet mills and deliver cherries several times during a harvest. The farmers are paid a price based on all the coffees they sold to the cooperative that year. (not just the one we bought) The wet mill will process and dry the coffees before they get sent to the local mill for storage. Therefore the cooperative by law charges no more than 20% of the selling price of the coffee. Most of the wet mills we buy from publish the prices they are paid for their coffees on their notice boards for the farmers to see and everything is recorded in their accounting. However I still know that we can get better at providing transparency in Kenya and I really hope to step up our buying protocols and find more long term partners in Kenya in the years to come. All coffees are imported directly to Norway by ourselves.
Ethiopian coffees – In 2018 all of our Ethiopian coffees were bought through Importers. The importers are negotiating prices with the farmers / exporters and cooperatives and then sell the coffees to different roasters in Europe. I have added footnotes on the various coffees from Ethiopia in our report that explains how the Farmgate price was calculated.
Hunkute – Farmers deliver freshly picked cherries to one of two Hunkute Washing Station. All farmers delivering cherries are members of the Hunkute Cooperative which is part of the Sidama Union. Hunkute pay 9 Birr per kg of cherries (approx USD 1,20 per lb green coffee), which they sell for the same price to Sidama Union. When Sidama Union sell the coffee, all profits are shared with the cooperatives and their members. We bought this coffee from the Norway based importer Nordic Approach who imported it to Europe. We have been buing this coffee almost every year since 2012.
Boji Kelloo – Farmers deliver freshly picked cherries to the Boji Washing Station. The average price during the 2017/2018 harvest was 14 Birr per kg of cherriesapprox USD 1,86 per lb green coffee), paid to farmers on the day of delivery. The washing station pays a second premium after the coffee is sold, however documentation of this second payment is not shared with importers. We bought this coffee from Nordic Approach who imported it to Europe. This was the only time we bought this coffee.
Gedeb Beriti – This coffee was bought through the French based importer Belco. Coffee was produced and exported by Metad and imported to Europe by Belco. This was the only time we bought this coffee.
In 2019 we have changed the way we buy coffees in Ethiopia due to a change of legislation meaning it is now easier for small roasters to buy directly from small to medium sized farms in Ethiopia. The goal is to buy directly from farms and being able to provide full transparency also here like we are able to in Central- and South America.
Mexico – We are buying our Mexican coffees though a company called Cafeologo which is working with a small group of farmers in order to help them increase the quality and value of their coffees. Cafeologo was milling and exporting these coffees and we imported it directly to Norway. Cafeologo offers the farmers they buy from a premium for high quality coffees and also provides training and support and a fixed minimum price regardless of the market price. We have been buying coffees from Cafeologo since 2017 but from different small farms each year due to the small size of the farms and lots.
Lot / Variety and TW SCA cup score
We do buy many different lots every year. Even from the same farm, such as Finca Tamana, we can end up buying 8 lots of the same variety separated by harvest date, screen size or quality. The price we pay for each lot can vary based on availability, market price and potential selling price. For instance the Catuai coffee from the Caballeros is a coffee that they produce a lot of and in all fairness it is quite easy to find similar cup profiles from other farms. (Although not the same quality) The fact that my personal cupping scores are quite high reflects that in this product category it is a very well processed and sweet coffee with clear flavour attributes. Their Geisha coffee has a very different cup profile and although I only scored it slightly higher it has a lot higher price. This is due to the fact that I score it with a reference to other Geisha coffee and also that the availability of Geisha coffees both from the Caballeros and in general is quite scarce. Geisha lovers are also willing to pay more for this rare coffee and there are many roasters who would like to get their hands on some rare Geisha. For me they are completely different products where I would compare the Catuai to a dark beer, the Geisha is almost like a fragrant white wine, but I love drinking both of them.
The SCA cup score is based on the SCA cupping protocol with a scoring scale from 0-100 where «specialty coffees» range from 80 points and above. Although I haven’t gone through a calibration since I certified as a q-grader some years ago I still feel that I am quite well calibrated with the cuppers I taste with around the world and my score is normally only a point or so off from the local cuppers where I buy the coffees. The scores on the report is either the actual score of the lot we bought if there was only one lot, or in the case of Caballero’s Catuai or Geisha, the average score I gave to all the lots we bought from them of that particular cultivar.
LB / KG bought and average F.O.B. Price
I have seen some transparency reports where only part of the coffees that a company bought was published in the report so that the numbers looked really good. For me it is important to show the price of all the coffees we buy. We have nothing to hide yet we also haven’t reached our goals of buying everything as direct and transparent as we want to. So the total amount of kilos presented in the report is actually the grand total of all the coffees we bought.
All in all it means the average price we paid per lb of green coffee last year was USD 5,93. A small increase from the 5,78 in 2017. You may wonder if this a high price or a low price? Well, until we have a real benchmark of what the market price for high quality coffees are in each country it is hard to say. As I mentioned I don’t want to compare it to the C-market price. All I can say is that I do see a lot of progress on the farms that we have been working with and buying from in Central-America and Colombia and I hope to be able to have a similar positive impact and find new long term partners in both Kenya and Ethiopia in the years to come.
Thank you
I would like to finish this post by giving my gratitude to all our guests, customers, followers and supporters that every day help us sustain our business so that we can continue pushing for a more sustainable coffee production. I know I have just briefly touched on the economics in this post and I am completely aware that social, ecological and environmental issues also needs to be addressed. However making sure that the farmers are actually able to make money instead of losing money is the first step on the way to make their production more sustainable in all aspects.
Thank you
Tim W

